让找料更便捷
电子元器件
采购信息平台
生意随身带
随时随地找货
一站式电子元器件
采购平台
半导体行业观察第一站
标签:
摘要: 电流探头是示波器测量电流的必备配件,但不同品牌之间价格往往差别很大,到底什么样的电探头才是可靠的呢?这里分享了电流探头可靠性验证的完整过程,并呈现所有实测结果,您也可依据此法对自己使用的电流探头进行验证。
电流探头是示波器测量电流的必备配件,但不同品牌之间价格往往差别很大,到底什么样的电探头才是可靠的呢?这里分享了电流探头可靠性验证的完整过程,并呈现所有实测结果,您也可依据此法对自己使用的电流探头进行验证。 本文针对ZCP0030-50电流探头进行了全方位性能参数验证, 主要测试参数包括直流精度、上升时间、方波响应、噪声、以及开关电源开关管电流波形实测。为了让实测结果更加直观,我们选择T公司的TCP312电流探头作为实测对比,并且在所有测试配有图片和测试结果,保证测试过程可追溯。
一、直流精度验证 ZCP0030-50标称直流精度为1%rdg±1mV,实测精度如表1所示。
1、测试条件 精度测试所使用试仪器为FLUKE5720校准器、六位半万用表DMM6000。测试步骤,校准器FLUKE5720输出不同的被测电流值,万用表读取电流探头的响应电压值。
图 2.1 直流精度测试环境 2、精度数据
表 2.1 直流精度测试数据
3、验证结论 上表格的数据显示,ZCP0030-50在量程范围内的直流精度在1%rdg±1mV以内。
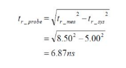
二、上升时间验证 ZCP0030-50的带宽是50MHz,对应上升时间≤7ns。探头上升时间是指测试脉冲时,测量系统响应波形从稳态值的10%上升到90%所需要的时间,是一个很关键的参数,上升时间越快,说明探头的响应越快,能测到更加快速变化的电流波形,还原电流波形的性能越好。
1、测试条件 测试电流探头的上升时间使用的测试仪器是信号发生器Keysight33600和示波器ZDS2022。信号发生器产生上升时间为5ns的方波,示波器显示经过电流探头后的上升波形和时间。
2、波形数据
图 3.1 ZCP0030-50的上升时间
如图 3.1所示,根据示波器测量到的上升时间为8.5ns,这个总时间是信号发生器自身的上升时间加上探头的上升时间,所以实际上探头的上升时间还需要将总时间减去信号发生器自身的上升时间,具体的计算公式如下。
3、验证结论 实测结果在理论计算范围内,上升时间正常,实测带宽在50MHz以上。
三、方波响应验证 方波响应主要是用来简易测试电流探头幅频响应特性的测试方法。电流探头能够完整的重现方波波形,不出现畸变,说明探头的幅频响应平坦,是良好的。
1、测试条件 测试电流探头的方波响应时,使用的测试仪器是信号发生器Keysight33600和示波器ZDS2022。信号发生器产生电流峰峰值为100mA,频率分别1KHz、100KHz、1MHz为的方波,示波器显示相对应的方波波形。
2、波形数据 如图3所示,在测试1KHz的电流方波时,探头的方波响应是很好的,波形基本上没有畸变,波形比较平坦,没有发生倾斜等。
图3 1KHz电流方波响应 如图4所示,在测试100KHz的电流方波时,探头的方波响应是很好的,波形基本上没有畸变,波形比较平坦,没有发生倾斜等。

图 4 100KHz电流方波响应 如3所示,在测试1MHz的电流方波时,探头的整体方波响应的波形基本上没有畸变,波形比较平坦,没有发生倾斜等。

图5 100KHz电流方波响应 如图5所示,在测试1MHz的电流方波时,探头的整体方波响应的波形基本上没有畸变,波形比较平坦,没有发生倾斜等。
3、验证结论 实测结果在理论计算范围内,幅频响应平坦。
四、噪声评测 噪声是电流探头的重要参数,噪声的大小直接影响到探头的分辨率,噪声越小,分辨率越高。
1、测试条件 噪声测试主要是使用示波器ZDS2022来观察测试,并记录相应的测试值。
2、精度数据
如图6所示,测试出来的电流探头的实际噪声的峰峰值小于10mA,交流有效值小于1mArms。
图6 噪声测试 3、验证结论 实测结果在理论计算范围内,噪声控制良好。
-电子元器件采购网(www、oneyac、com)是本土元器件目录分销商,采用“小批量、现货、样品”销售模式,致力于满足客户多型号、高质量、快速交付的采购需求。自建高效智能仓储,拥有自营库存超50,000种,提供一站式正品现货采购、个性化解决方案、选项替代等多元化服务。 (本文来源网络整理,目的是传播有用的信息和知识,如有侵权,可联系管理员删除)
电源工程师最怕什么?炸机!用着用着就坏了,莫名其妙MOS管就炸了,真是又怕又恨,可到底是哪里出问题了呢?这一切都和SOA相关。 我们知道开关电源中MOSFET、 IGBT是最核心也是最容易烧坏的器件。开关器件长期工作于高电压大电流状态,承受着很大的功耗,一但过压或过流就会导致功耗大增,晶圆结温急剧上升,如果散热不及时,就会导致器件损坏,甚至可能会伴随爆炸,非常危险。这里就衍生一个概念,安全工作区。
一、什么是安全工作区? 安全工作区:SOA(Safe operating area)是由一系列(电压,电流)坐标点形成的一个二维区域,开关器件正常工作时的电压和电流都不会超过该区域。简单的讲,只要器件工作在SOA区域内就是安全的,超过这个区域就存在危险。
二、SOA具体如何应用和测试呢?
开关器件的各项参数在数据手册中都会明确标注,这里我们先来解读两个参数:
lVDS(Drain-source voltage):漏源电压标称值,反应的是漏源极能承受的最大的电压值;
lIDM(Drain current(pulsed)):漏源最大单脉冲电流(非重复脉冲),反应的是漏源极可承受的单次脉冲电流强。
图1 开关器件参数表 器件手册一般都会提供SOA(Safe operating area)数据图表,主要和晶圆的散热、瞬间电压和电流的承受能力有关,通过IDM和VDS及器件晶圆沟道损耗的限制形成一个工作区域,称为安全工作区,如下图所示。安全工作区可以避免管子因结温过高而损坏。
图2 器件手册SOA曲线图
示波器的测试应用非常简单,使用电压、电流探头正常测试开关管的VDS和IDM,并打开SOA分析功能,对照数据手册的SOA数据设置好示波器的SOA参数即可。一但波形触碰到安全区以外的区域,就说明器件超额工作,存在危险。
三、示波器的SOA分析功能有哪些作用?
l支持连续测试,并统计通过及失败的总数次,该模式可用于连续烤机测试;
l支持触碰(波形超出安全区域)停止、自动截图、声音提示操作;
l安全工作区可通过电压、电流、功率限制设定,也可自定义设定。
图3 示波器SOA测试波形图 四、总结 开关器件的安全工作区是一项非常重要的参数,通过示波器的SOA分析功能,可以快速有效的确定器件的工作是否安全,确保产品安全可靠。
-电子元器件采购网(www、oneyac、com)是本土元器件目录分销商,采用“小批量、现货、样品”销售模式,致力于满足客户多型号、高质量、快速交付的采购需求。自建高效智能仓储,拥有自营库存超50,000种,提供一站式正品现货采购、个性化解决方案、选项替代等多元化服务。 (本文来源网络整理,目的是传播有用的信息和知识,如有侵权,可联系管理员删除)
| 型号 | 厂商 | 价格 |
|---|---|---|
| EPCOS | 爱普科斯 | / |
| STM32F103RCT6 | ST | ¥461.23 |
| STM32F103C8T6 | ST | ¥84 |
| STM32F103VET6 | ST | ¥426.57 |
| STM32F103RET6 | ST | ¥780.82 |
| STM8S003F3P6 | ST | ¥10.62 |
| STM32F103VCT6 | ST | ¥275.84 |
| STM32F103CBT6 | ST | ¥130.66 |
| STM32F030C8T6 | ST | ¥18.11 |
| N76E003AT20 | NUVOTON | ¥9.67 |